SAGA Reports Two New Top 10 Intercepts at Radar Project

SAGA Metals Reports Assays from R-0021 to R-0023 with Intercepts Including 53.18% Fe₂O₃, 7.08% TiO₂, 0.414% V₂O₅ from 2026 Drilling at Trapper South, Radar Critical Minerals Project in Labrador

TSXV: SAGA  |  OTCQB: SAGMF  |  FSE: 20H

VANCOUVER, B.C. — March 31, 2026 — SAGA Metals Corp. (“SAGA” or the “Company”) (TSXV: SAGA) (OTCQB: SAGMF) (FSE: 20H), a North American exploration company focused on critical mineral discoveries, is pleased to report additional assay results from drill holes R-0021, -0022 and -0023 completed in 2026 as part of its ongoing maiden Mineral Resource Estimate (“MRE”) diamond drill program at the Trapper Zone within the 100%-owned Radar Titanium-Vanadium-Iron Project near Cartwright, Labrador, Canada.

Figure 1: Trapper South map outlining location of the initial 2026 focus

Figure 1: Trapper South map outlining location of the initial 2026 focus for the remainder of the MRE drill program, including cross-sections S11, S10, S9, S8, S7, S6, S5, and S4, showing the TMI of the 2025 Trapper Zone ground magnetic survey.

Trapper South Assay Highlights

Analytical results received for three (3) additional diamond drill holes (R-0021 to R-0023) from the MRE drill program reinitiated in 2026, delivering consistent broad intercepts of oxide mineralization.

► Key Intercepts — New Results

Hole Interval Fe₂O₃ TiO₂ V₂O₅
R-0021 31.38 m 53.18% 7.08% 0.414%
R-0022 30.60 m 49.40% 6.61% 0.373%
R-0023 86 m 45.50% 5.50% 0.367%

These results bring the total MRE drill results from 2026 to eight (8) diamond drill holes. As reported on March 5 & March 18, 2026, the first five (5) holes included:

Hole Interval Fe₂O₃ TiO₂ V₂O₅
R-0016 50.60 m 52.05% 7.21% 0.375%
R-0017 90.01 m 51.86% 6.76% 0.417%
R-0018 70.3 m 42.64% 5.66% 0.288%
R-0019 45.7 m 49.51% 6.56% 0.374%
R-0020 40.7 m 37.62% 4.93% 0.239%

● Top 10 intercepts from the MRE Drill Program can be found in Table 3 below.

● Completed thirty (30) holes (R-0016 to R-0045) to date in 2026, with significant oxide intercepts including 159.65 m (R-0034), predominantly semi-massive oxide with extensive rhythmic layering.

● Multiple holes returning thick oxide zones exceeding 70–90 metres with head grades frequently above 45–53% Fe₂O₃, 6–7% TiO₂ and 0.37–0.41% V₂O₅.

● Rhythmic banding and semi-massive to massive oxide mineralization observed consistently, aligning with prior high-grade results from Trapper North.

● Drilling is progressing efficiently, with 8,144 m completed in the Trapper Zone to date. Hole R-0046 is in progress.

● Excellent core recovery and representative sampling support ongoing metallurgical test work and advancement of the maiden Mineral Resource Estimate.

Management Commentary

“These new assays from drill holes R-0021 to R-0023 at Trapper South continue to demonstrate the impressive level of consistency we are seeing across the board — not only from the broad oxide zones, but also the strong head grades of titanium, vanadium and iron. Intercepts such as 31.38 m @ 53.18% Fe₂O₃, 7.08% TiO₂ and 0.414% V₂O₅ in R-0021, along with the equally solid results in R-0022 and R-0023, reinforce the continuity and quality of the mineralization. With semi-massive oxide zones thickening in Trapper South, aligning with Trapper North, we are gaining growing confidence in the scale and uniformity of the system as we advance toward our maiden Mineral Resource Estimate.

These consistent assay results, combined with the visual confirmation of semi-massive to massive oxide mineralization and rhythmic banding across multiple drill sections, provide a strong foundation for metallurgical test work and resource modelling. The high core recovery and representative samples from the Trapper Zone will enable SAGA to advance beneficiation studies on the oxide mineralization, supporting the Company’s goal of delivering a maiden Mineral Resource Estimate in 2026 and de-risking the project toward future economic assessment.”

— Michael Garagan, CGO & Director, SAGA Metals Corp.

2026 Trapper South Drilling Summary

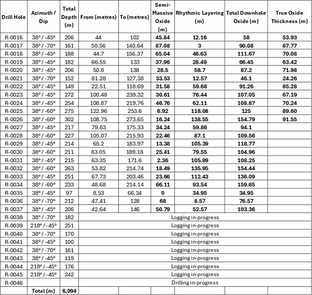
Table 1: Summary of drill holes R-0016 to R-0045

Table 1: Summary of drill holes R-0016 to R-0045, highlighting the oxide intercepts. Logging of R-0038 to R-0045 is in progress. See Figures 2–4 below, which depict the oxide mineralization in cross sections S5, S4 and S8. True thickness represents the perpendicular width of the mineralized zone, while the total downhole oxide represents the length of the mineralization intercepted downhole.

Table 2: Summary of total meters drilled

Table 2: Summary of total meters drilled in Q4 2025 and 2026 to date, including total core samples cut and prepared.

Detailed Logging Highlights: Drill Holes R-0021 to R-0023

Hole R-0021 — Cross-Section S05

The oxide zone is 46.10 m thick, intersected at 81.27 m with GNMLS at the upper contact of the oxide zone with the gabbronorite, forming 12.57 m of rhythmic layering above a semi-massive magnetite zone starting at 93.85 m. The semi-massive magnetite zone is 33.53 m thick and in contact with gabbronorite at its lower contact at 127.38 m. The lower contact of the oxide zone is fault contact N182 45W, marked by a felsic dyke separating the oxide zone from the gabbronorite.

Hole R-0022 — Cross-Section S04

Encountered a 91.26-metre-thick oxide zone, starting at 22.5 m with rhythmic layering intercalated with semi-massive zones. The oxide zone at this depth strikes SE (N133 68SW). The semi-massive magnetite strikes N123 18SW at its contact with the rhythmic layering at 55.71 m. The oxide zone ends at 118.7 m, where the lower contact oxide zone with the gabbronorite is marked by a felsic dyke at a high angle to the core axis. The oxide zone consists of 31.58 m semi-massive magnetite and 59.68 m rhythmic magnetite layering.

Hole R-0023 — Cross-Section S08

The oxide zone is 107.05 m thick, starting at 100.48 m to 239.32 m. The oxide zone consists of 30.61 m semi-massive magnetite intercalated with a 76.44 m rhythmic magnetite layering. The lower contact of the semi-massive magnetite zone at 114.5 m, with magnetite rhythmic layering, is N115 89SW. Varying magnetite layers in the GNMLS with a high magnetite content in the gabbronorite and sections of semi-massive magnetite in SE striking contact (N150 60SW) with gabbronorite to 186.5 m.

Figure 2: Cross section of S5 looking NW

Figure 2: Cross section of S5 looking NW showing R-0020, -0021, R-0029, -0030 and -0041, highlighting intercepts of semi-massive oxides and layering sequence with the 3D Magnetic Inversion of the 2025 Trapper Zone ground magnetic survey. Assays shown for R-0020 and -0021 with pending assays for R-0029, R-0030, and R-0041.

Figure 3: Cross section of S4 looking NW

Figure 3: Cross section of S4 looking NW showing R-0022, -0039, and -0040, highlighting intercepts of semi-massive oxides and layering sequence with the 3D Magnetic Inversion of the 2025 Trapper Zone ground magnetic survey. Assays shown for R-0022 and pending assays for R-0039 and R-0040.

Figure 4: Cross section of S8 looking NW

Figure 4: Cross section of S8 looking NW showing R-0016, -0017, -0023, -0026, -0035 and -0045 as well as a proposed hole, highlighting intercepts of semi-massive oxides and layering sequence with the 3D Magnetic Inversion of the 2025 Trapper Zone ground magnetic survey. Assays shown for R-0016, -0017 and -0023 with pending assays for R-0026, -0035 and R-0045.

Sampling Summary

Drilling is progressing efficiently, with 6,094 m already completed in 2026 up to drill hole R-0045, with 8,144 total meters completed for the Mineral Resource Estimate drill program. The drill rig has been moved to drill pad R-0046. IGS Laboratories has received 507 samples from R-0024, -0025, and -0026 on March 24, 2026, while an additional 410 samples from R-0027, -0028, and -0029 have been cut, sampled, and prepared for shipping on March 25, 2026. A total of 4,136 samples have been collected to date in the Trapper Zone.

Key Project Highlights

● Confirmed mineralization in 45 out of 45 drill holes completed and observed in two primary zones to date.

● Infrastructure including road access, deep-water port, nearby hydro-electric power and airstrip.

● Confirmed the 16+ km oxide layering trend stretching from the Hawkeye Zone to the Trapper Zone, demonstrating district-scale potential.

● Consistent grades and thicknesses with semi-massive to massive oxide reporting up to 64.55% Fe, 13.3% TiO₂, and 0.66% V₂O₅.

● Petrographic analysis confirms titanomagnetite mineralization is advantageous for simplified metallurgical processing.

Analytical results to date include numerous oxide-rich intercepts, including:

Table 3: Top 10 intercepts from the 2025 and 2026 drilling programs

Table 3: Top 10 intercepts from the 2025 & 2026 drilling programs at the Trapper Zone.

About the Radar Critical Mineral Property in Labrador

The Radar Property spans 24,175 hectares and hosts the entire Dykes River intrusive complex (about 160 km²), a unique position among Western explorers. Geological mapping, geophysics, and trenching have already confirmed oxide layering across more than 20 km of strike length, with mineralization open for expansion.

Figure 5: Radar Property map

Figure 5: Radar Property map, depicting magnetic anomalies, oxide layering and the site of the 2025 drill programs. The Property is well serviced by road access and is conveniently located near the town of Cartwright, Labrador.

Vanadiferous titanomagnetite (“VTM”) mineralization at Radar is comparable to global Fe–Ti–V systems such as Panzhihua (China), Bushveld (South Africa), and Tellnes (Norway), positioning the Project as a potential strategic future supplier of titanium, vanadium, and iron to North American markets.

Figure 6: Radar Project prospective oxide layering zone

Figure 6: Radar Project’s prospective oxide layering zone validated over about 16 km strike length through Fall 2025 drilling, as shown on a compilation of historical airborne geophysics as well as ground-based geophysics in the Hawkeye and Trapper zones completed by SAGA in the 2024/2025 field programs.

Omnibus Equity Incentive Plan

At the annual general meeting of the Company held on January 15, 2026 (the “AGM”), the Company’s shareholders authorized and approved the Company’s amended “rolling up to 10% and fixed up to 10%” Omnibus Equity Incentive Plan dated effective December 15, 2025 (the “Omnibus Plan”) by ordinary resolution (the “Omnibus Plan Resolution”). Under the Omnibus Plan Resolution, the Company’s shareholders authorized an increase to the number of Share Units issuable under the Omnibus Plan up to a maximum of 7,102,411, being the number equal to 10% of the issued and outstanding common shares as at December 11, 2025, the record date for the AGM.

The full and final text of the Omnibus Plan will be filed under the Company’s SEDAR+ profile available at www.sedarplus.com.

Qualified Person

Paul J. McGuigan, P. Geo., is an Independent Qualified Person as defined under National Instrument 43-101 and has reviewed and approved the technical information disclosed in this news release.

Technical Information

Diamond drill core was logged and sampled by Company personnel at SAGA’s core facility in Cartwright, Labrador. The drill core diameter was NQ. The core was cut lengthwise using a diamond saw, and one half was retained in the core box, while the other half was sampled at designated intervals for analysis.

Core samples were prepared and analyzed at the Impact Global Solutions (IGS) laboratory facility in Montréal, Québec. As part of the analytical quality assurance and quality control (QA/QC) program, certified reference standards, blanks, and duplicate samples were inserted into the sample stream at regular intervals to monitor analytical accuracy and precision.

Crush rejects and pulp samples are retained and stored in a secure facility for potential future verification and re-analysis. The Company maintains a rigorous QA/QC protocol consistent with industry standard practices.

About SAGA Metals Corp.

SAGA Metals Corp. is a North American mining company focused on the exploration and discovery of a diversified suite of critical minerals that support the North American transition to supply security. The Radar Ti-V-Fe Project comprises 24,175 hectares and entirely encloses the Dykes River intrusive complex, mapped at 160 km² on the surface near Cartwright, Labrador. Exploration to date, including 4,250 m of drilling, has confirmed a large, mineralized layered mafic intrusion hosting vanadiferous titanomagnetite (VTM) and ilmenite mineralization with strong grades of titanium and vanadium.

The Double Mer Uranium Project, also in Labrador, covers 25,600 hectares and features uranium radiometrics that highlight an 18 km east-west trend, with a confirmed 14 km section producing samples as high as 0.428% U₃O₈. Uranium uranophane was identified in several areas of highest radiometric response (2024 Double Mer Technical Report).

Additionally, SAGA owns the Legacy Lithium Property in Quebec’s Eeyou Istchee James Bay region. This project, developed in partnership with Rio Tinto, has been expanded through the acquisition of the Amirault Lithium Project. Together, these properties cover 65,849 hectares and share significant geological continuity with other major players in the area, including Rio Tinto, Winsome Resources, Azimut Exploration, and Loyal Metals.

With a portfolio spanning key commodities critical to the clean energy future, SAGA is strategically positioned to play an essential role in securing critical minerals.

On Behalf of the Board of Directors

Mike Stier, Chief Executive Officer

Investor Relations: Rob Guzman

Tel: +1 (844) 724-2638

Email: rob@sagametals.com

www.sagametals.com

Neither the TSX Venture Exchange nor its Regulation Service Provider (as that term is defined in the policies of the TSX Venture Exchange) accepts responsibility for the adequacy or accuracy of this release.

Cautionary Disclaimer

This news release contains forward-looking statements within the meaning of applicable securities laws that are not historical facts. Forward-looking statements are often identified by terms such as “will”, “may”, “should”, “anticipates”, “expects”, “believes”, and similar expressions or the negative of these words or other comparable terminology. All statements other than statements of historical fact, included in this release are forward-looking statements that involve risks and uncertainties. In particular, this news release contains forward-looking information pertaining to the Company’s Radar Project. There can be no assurance that such statements will prove to be accurate, and actual results and future events could differ materially from those anticipated in such statements. Important factors that could cause actual results to differ materially from the Company’s expectations include, but are not limited to, changes in the state of equity and debt markets, fluctuations in commodity prices, delays in obtaining required regulatory or governmental approvals, environmental risks, limitations on insurance coverage, inherent risks and uncertainties involved in the mineral exploration and development industry, particularly given the early-stage nature of the Company’s assets, and the risks detailed in the Company’s continuous disclosure filings with securities regulations from time to time, available under its SEDAR+ profile at www.sedarplus.ca. The reader is cautioned that assumptions used in the preparation of any forward-looking information may prove to be incorrect. Events or circumstances may cause actual results to differ materially from those predicted, as a result of numerous known and unknown risks, uncertainties, and other factors, many of which are beyond the control of the Company. The reader is cautioned not to place undue reliance on any forward-looking information. Such information, although considered reasonable by management at the time of preparation, may prove to be incorrect and actual results may differ materially from those anticipated. This cautionary statement expressly qualifies forward-looking statements contained in this news release. The forward-looking statements contained in this news release are made as of the date of this news release, and the Company will update or revise publicly any of the included forward-looking statements only as expressly required by applicable law.

Past performance is not indicative of future results. NIA is not an investment advisor and does not provide investment advice. Always do your own research and make your own investment decisions. NIA has received compensation from SAGA of US$100,000 cash for a twelve-month marketing contract. This communication is for informational and educational purposes only.